# 進階概率

### 獨立事件是什麽

更通俗的說：一件事是否會發生，與另一件事毫無關系

從概率角度說：<mark style="background-color:red;">兩個相互獨立的事件</mark>，<mark style="background-color:red;">其中一個事件的發生對另一個事件的概率沒有影響</mark>

独立事件判断标准：若<mark style="background-color:orange;">P(A)×P(B)=P(AB</mark>)，则事件A和事件B为相互独立事件

### 互斥事件是什麽

通俗的說：兩個結果<mark style="background-color:red;">不可能同時出現</mark>的事件，就叫<mark style="background-color:red;">互斥事件</mark>

從概率角度說：若AB為互斥事件，則A∩B=∅，則AB同時發生的可能性為0

如果證要證明：若事件A和事件B為互斥事件，則<mark style="background-color:orange;">P(A)+P(B)=P(A+B)</mark>

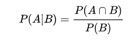
### 條件概率

条件概率就是事件*A*在事件*B*发生的条件下发生的概率。条件概率表示为P(*A*|*B)*，读作“*A*在*B*发生的条件下发生的概率”。

以上是條件概率的公式

<figure><img src="https://3504967289-files.gitbook.io/~/files/v0/b/gitbook-x-prod.appspot.com/o/spaces%2FeN8VctTZo5AuKzrwR8ca%2Fuploads%2F2zzBPQBWEe5UQ1KeDAUl%2F%E5%B1%8F%E5%B9%95%E6%88%AA%E5%9B%BE%202023-08-15%20171003.png?alt=media&#x26;token=7ac03bb8-40b1-434c-a16d-be3eab7c2f80" alt=""><figcaption></figcaption></figure>
